首页
在线开户
下载专区
行情中心
财经日历
帮助中心
金融学院
在线客服
活动中心
关于我们
用户中心
开设账户
Android/Tablet下载
iphone/ipad下载
Mac下载
Windows下载
在线Web版本
当前位置:
首页
>
合约细则
>
外汇
分类
商品
指数
股票
外汇
数字货币
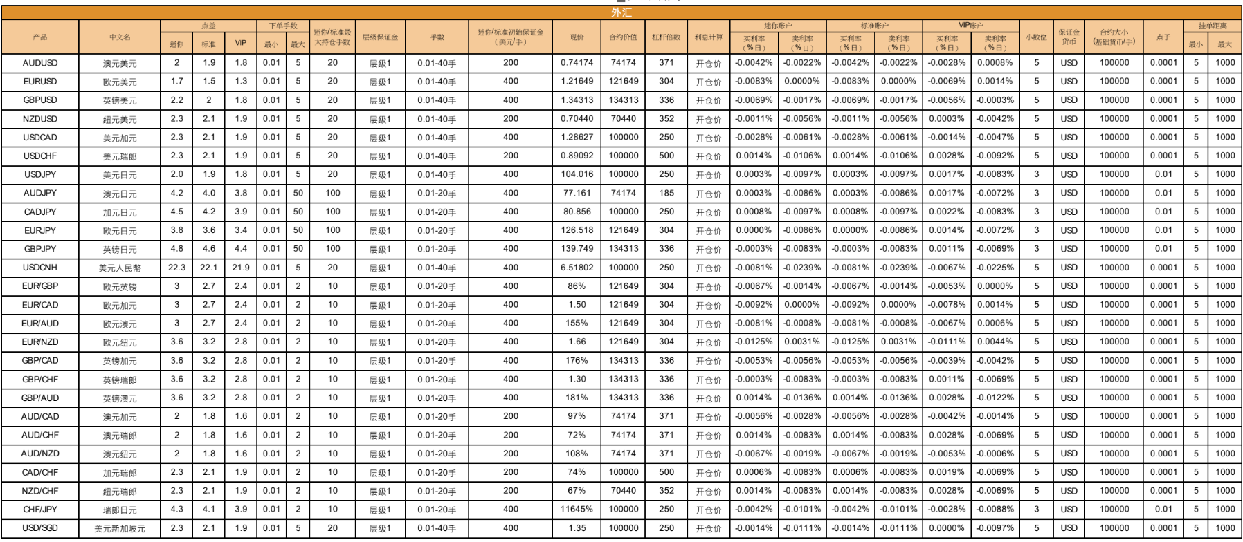
外汇
×